Short Communication Article
Simulation of ice formation on the gas transfer tube surrounded by a water medium
Department of Low Temperatures Engineering named by P.L.Kapitsa, Moscow Politechnic University, Russia
*Corresponding author: Marinyuk Boris, Department of Low Temperatures Engineering, Moscow Politechnic University, Russia, E-mail: marinyukb@yandex.ru
Received: May 29, 2018 Accepted: June 13, 2018 Published: June 18, 2018
Citation: Boris M, Andre L, Anna Z. Simulation of ice formation on the gas transfer tube surrounded by a water medium. Int J Petrochem Res. 2018; 2(1): 148-149. doi: 10.18689/ijpr-1000125
Copyright: © 2018 The Author(s). This work is licensed under a Creative Commons Attribution 4.0 International License, which permits unrestricted use, distribution, and reproduction in any medium, provided the original work is properly cited.
Abstract
The growth rate of ice layer on a surface of the long tube immersed within water medium and containing cold gas flow is considered.
It was determined the layer thickness of ice forming along the tube surface as function of gas follow rate and its initial temperature. The temperature of water medium is above zero.
Keywords: Water ice, heat transfer coefficient, mass gas flow rate, ice thickness, ready made solution, water medium.
Introduction
The math model of heat and mass transfer process under formation water ice on the surface of the tube wall is suggested.
The task is actual for under water works, connected with natural gas, transferred within tube crossing water barriers in winter.
Theory
Let it consider the tube being cooled inside by natural gas, having low temperature ts = -45°C, water temperature Tw°C has positive level of temperature, its flow velocity donʼt exceed 1 m/s, heat transfer from the side of natural gas is known αs αs = 300W/m2 s. The tube has no insulation protection, the tube radius is given0,5m, mass flow rate of the gas Gs is 7,7 105 kg/s.
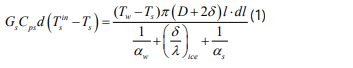
The heat balance differential equation can be expressed in the form
Cps – specific heat accumulation of gas, Dj/kgK
Ts in, Ts – initial and current temperatures of natural gas glow, K, Ts in =228K
dl – elementary tube length, m
αw; – heat transfer from the side of water, αw; = 150W/m2s
Gs – mass rate of natural gas, pumping inside the tube, kg/s
δ – ice thickness, m
λ – heat conductivity of ice, W/mK [1]
D – the tube diameter, m
The aim of this model is to find temperature of gas and ice layer thickness as function of the tube length. To get the result, it is necessary to draw ready made solution, which was made earlier for a case when ice thickness was determined for a flat plate put in to water medium [2]
where Tf – temperature of phase changed Tf
= 273K
L – heat of phase changes (freezing of water into ice), L=334 103
Dj/kg
ρ – ice density, kg/mw3
If ice thickness is small enough in compare with tube radius, the use of equation (2) justified.
The joint solution of two equations gives the values of the required parameters Ts and δ.
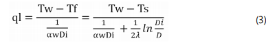
For a long termexploitation of the tube it is of a an interest to estimate maximum ice layer thickness for a certain conditions, this can be described by a stationary – type equation.
Where Tw – water temperature, Tw =277K
Ts – temperature of gas, Ts
=228K
ql – density of the heat flux perm, W/m
αs = 300W/m2K; αw; = 150 W/m2K
Di – the diameter of the tube-ice composition, m
The calculation results are presented on the Figure 1. The dotted line demonstrate the character of the ice layer formation for a short period of the process. The solid line gives maximum ice thickness, m
Conclusion
- Math model was composed to predict ice layer thickness and gas temperature along the length of the tube being cold from inside by a low temperature gas.
- The estimation of maximum ice layer thickness, on the tube surface was made.
- In winter conditions and a long term expluatation of the tube line the thickness of ice layer forming on it may reach the size compared with the tube radius.
References
- Dean JW, Timmerhaus KD. Thermal Conductivity of Solid O and O at Low Temperatures. Adv. In Cryogen Engineering. 1963; 8: 263-267.
- Marinyuk BT. The calculation of heat transfer in apparatus and the low – temperature cooling systems. Mashinostroenie. Russia, 2015.

