Beijing Normal University, China
Recently, stimuli-responsive polymers have attracted more and more interests for their applications in biological and medical fields, e.g., drug release and sensors. Here, thermal/pH dual-stimuli responses copolymers starch graft poly(2-(diethylamino) ethyl methacrylate-co-polyethylene glycol monomethyl ether methacrylate) (starch-g-P(DEAEMA-co-PEGMA)) were synthesized by single electron transfer (SET) radical polymerization. The self-assembly and thermal/pH responses behaviors were investigated by DLS. The hydrodynamic diameters (Dh) of micelles formed by the copolymers in aqueous medium increased and then decreased with pH values increasing from 1.5 to 12.0, peaking at pH 5.5. In acid conditions (pH 1.5), the copolymers chains existed in aunimer state. With pH increasing, the core-shell structured micelles were formed with starch as core and PDEAEMA and PPEGMA segements as shell. The decrease in Dh at pH 5.5–7.4 was attributed to the collapse of PDEAEMA segements because of the deprotonation. The Dh also decreased with the increase of temperature. And the onset temperature when Dh decreased depends on the molar ratio of DEAEMA and PEGMA units, the molecular weight of PDEAEMA in grafted chains and the pH value of the solution. The thermal and pH responses of the graft copolymers are reversible.

Illustration of the thermo and pH dual-responsive behaviors of the starch-g-P(DEAEMA-co-PEGMA) micelles.
Biography:
Professor Zhengping Liu has been working in College of Chemistry, Beijing Normal University. He finished his B.Sc. in 1987 and M. Sc. in 1990 and he finished his Ph. D. in 1993 at Department of Chemistry, Jilin University, China. From 1993-1995 he pursued as Postdoc in Department of Chemistry, Peking University at China. From 1995-1996 he worked as Assistant Professor, 1996-2001 as Associate Professor and 2001–present has been Full Professor in Department of Chemistry, Beijing Normal University at China. In 2001 he worked as Visiting Scholar in Department of Chemistry, University of California at Berkeley at United States. His research interest is environmentally friendly polymer and functional polymer. He has published more than 100 papers and applied 16 patents. He received an award for National Excellent Science and Technology Researchers in 2014.
Graz University of Technology, Austria
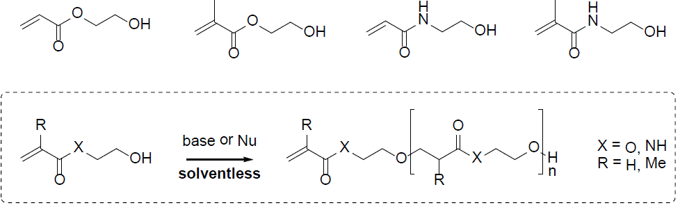
The Michael addition between thiols and electron-poor olefins is categorized as a click reaction and finds wide application in polymer and materials chemistry in particular in its nucleophile mediated variant.[1] We became interested whether it is feasible to use less acidic and less nucleophilic alcohols instead of thiols and disclosed a nucleophile induced Oxa-Michael addition polymerization reaction using divinyl sulfone and di and polyols.[2,3]
Herein we aim at changing the Michael acceptor from divinyl sulfone to other electron deficient olefins such as acrylates, methacrylates, acrylamides and methacrylamides as depicted below. In particular we were interested whether an addition polymerization reaction is feasible with these Michael acceptors. In particular we were interested whether an addition polymerization reaction is feasible with Michael acceptors being distinctly less reactive than divinyl sulfone. In particular, the role of the different nucleophiles and/or bases needed to initiate or catalyze the reaction is studied as the decisive factor for successful Oxa-Michael addition polymerization.

[1] D. P. Nair, M. Podgorski, S. Chatari, T. Gong, W. Xi, C. R. Fenoli, C. N. Bowman, Chem. Mater. 2014, 26, 724-744.
[2] S. Strasser, C. Slugovc, Catal. Sci. Technol. 2015, 5, 5091-5094.
[3] S. Strasser, C. Wappl, C. Slugovc, Polym. Chem. 2017, 8, 1797-1804.
Biography:
Petra Hofstadler received her BSc degree (2014) and MSc degree (2016) from Graz University of Technology (Austria). Currently she is working on her PhD in Technical Chemistry at the same university, under the supervision of Prof. Christian Slugovc.
1Beijing Normal University, China
2Chinese Academy of Sciences, China
The Fe3O4@SiO2 paramagnetic Janus particles with phenyl groups and amino groups segmented on two different sides were fabricated by Pickering emulsion method. Then, the poly(ionic liquid)s were selectively modified onto the amino side via in-situ induced ATRP polymerization. Different anions were introduced onto the poly(ionic liquid)s region by exchanging anions to adjust the wettability of the side, respectively. Meanwhile, after the PW12O403- anions were employed, the poly(ionic liquid)s modified Fe3O4@SiO2 Janus particles can be used as a catalytic solid emulsifier and degraded water soluble dyes with the aid of stable emulsion. The PW12O403- based poly(ionic liquid)s modified Fe3O4@SiO2 Janus particles can adsorb methyl orange to the poly(ionic liquid)s region and degraded products transferred into the oil phase in the emulsion system. Janus particles can be recovered rapidly by magnetic field and washed with ethanol and water replaced organic reagents to avoid environmental pollution. The poly(ionic liquid)s modified Janus particles exhibited advantages in decomposition of methyl orange with short time and high efficiency, which were expected to have broad applications in heterogeneous decomposition of water soluble dyes.

Illustration synthesis of the poly(ionic liquid)s modified magnetic Janus particles. The hydrophobic phenyl modified Fe3O4@SiO2 magnetic particles are used to stabilize the emulsion and form single layer at the oil-water interface. Janus particles are fabricated after the side in the aqueous phase is converted to amino groups. Following, the amino side is selectively modified with poly(ionic liquid)s to achieve poly(ionic liquid)s modified Janus particles.
Biography:
Professor Zhengping Liu has been working in College of Chemistry, Beijing Normal University. He finished his B.Sc. in 1987 and M. Sc. in 1990 and he finished his Ph. D. in 1993 at Department of Chemistry, Jilin University, China. From 1993-1995 he pursued as Postdoc in Department of Chemistry, Peking University at China. From 1995-1996 he worked as Assistant Professor, 1996-2001 as Associate Professor and 2001–present has been Full Professor in Department of Chemistry, Beijing Normal University at China. In 2001 he worked as Visiting Scholar in Department of Chemistry, University of California at Berkeley at United States. His research interest is environmentally friendly polymer and functional polymer. He has published more than 100 papers and applied 16 patents. He received an award for National Excellent Science and Technology Researchers in 2014.
1Kwangwoon University, Korea
2Hankuk University of Foreign Studies, Korea
3Ewha Womans University, Korea
Metal-organic frameworks (MOFs) can be utilized as antibacterial agents due to their effective antibacterial activities. Three-dimensional (3D) Cu-MOFs were synthesized by hydrothermal reactions or modified literature methods to increase their stabilities in aqueous solution. Porous three-dimensional Cu-MOF represents antibacterial effect as well as high selective gas sorption. Bioactive Cu-MOF containing Cu2 dinuclear units connected by flexible glutarate and 1,2-bis(4-pyridyl)ethane ligands is formulated as [Cu2(Glu)2(μ-bpa)]·3(H2O) (Glu = glutarate, bpa = 1,2-bis(4-pyridyl)ethane) and was crystallize in monoclinic space group (C2/c). The single crystal X-ray study showed that Cu-MOF contains paddle-wheel Cu2 dinuclear units connected by glutarates to form two-dimensional (2D) sheets and these sheets were bridged by 1,2-bis(4-pyridyl)ethane ligand to form three-dimensional (3D) frameworks. Porous 3D Cu-MOF exhibited high selective sorption of quadrupolar CO2 over N2 and H2. Robust Cu MOF exhibited excellent antibacterial activities with very low MBC value, 20mg/mL against all used strains of bacteria. However, the bactericidal rates of Cu-MOF applied on the silicone rubber against E.coli, S. aureus and MRSA were observed differently such as 88.6%, 88.7% and 81.5% on the same concentration, respectively.
Biography:
Do Nam Lee received her B.S. and M.S. from Yonsei University in Chemistry. She earned her Ph.D from Yonsei University (1992) under the supervision of Prof. Chang Hwan Kim and completed postdoctoral study as a member of the groups of Prof. Robert West at University of Wisconsin-Madison. She also worked as visiting scholar at Peking University and LG electric company (Korea). She is currently an Associate Professor at Kwangwoon University, Republic of Korea and mostly focusing on researches of synthesis and application of coordination comlpexes, functional metal organic frameworks and bioactive polymers.
University of KwaZulu-Natal, South Africa
Concentrations of As, Be, Ca, Cd, Co, Cr, Cu, Fe, K, Mg, Mn, Na, Ni, Pb, Se, Si and Zn were obtained from five wild growing mushrooms collected from pine plantations in the province of KwaZulu-Natal, South Africa. Currently, no reports have been published on the mineral and nutritional content of wild growing mushrooms found in South Africa. Elemental analysis was carried out using inductive coupled plasma-optical emission spectrometry (ICP-OES). The results showed elemental concentrations to be species-dependent. Each mushroom exclusively accumulated elements in the following order: Amanita pantherina (K>Na>Zn>Cu>Mg); Boletus edulis (K>Cu>Zn>Se>Na>Mg); Boletus mirabilis (K>Cu>Zn>Na>Mg); Lactarius deliciosus (K>Zn>Mg) and Russula sardonia (K>Na>Zn>Cu>Mg). They were however bioexclusors of all other elements (As, Be, Ca, Cd, Co, Cr, Fe, Mn, Ni, Si) studied. The fruiting bodies of the three edible mushrooms (B. edulis, B. mirabilis and L. deliciosus) contained the following nutrients based on dry mass: proteins (25%-55%), carbohydrates (34%-69%), Ash (3%-6.5%), moisture content (90%-92.5%) and lipid (0.8%-5.3%) in both the pileus and stipe.
Statistically significant correlation coefficients (r) were obtained for exchangeable metals in soil for Cd with Cr (0.911), Fe (0.995), Ni (0.866) and Pb (0.901); for Zn with K (0.895), Ni (0.873) and Mg (0.927); for Cr with Fe (0.921) and Se (0.912). Statistically significant correlations were also observed between Co and Cu (0.899), Fe and Pb (0.887) and K and Mg (0.908) at the 0.01 level (99% confidence interval).
Biography:
Mr. Muvhango Rasalanavho is currently a PhD candidate at the University of KwaZulu-Natal in South Africa. He has been offering lectures at the University for the past 15 years and prior to that he was a lecturer at a teacher training college for 7 years. He obtained his BSc Honors from the University of Venda and MSc from the University of KwaZulu-Natal. In 1996 he was awarded the Fulbright Teacher Exchange Programme and spent a year teaching at Grossmont Community College in San Diego, CA. His research area is in Analytical and Environmental Chemistry.
Petra University, Jordan
We have developed new chemical compounds that was incorporated isoendoline-1 ,3-dione and acetylenic various derivatives to induce anti-inflammatory and analgesic activities. This unique basic compounds combination represents a new series of compounds as anti-inflammatory agents; differ from the generally used drugs on the market with acidic, enolic, sulfonamide or sulfon groups in their structures.
Biography:
Prof. Zuhair Muhi-Eldeen completed his B.S of pharmacy in University of Baghdad at Iraq and M.S. in Pharmaceutical Chemistry in Colorado University at USA. He has been published in Eighty Papers. He has updated Essentials of Medicinal Chemistry book in 2010.
Wuhan University, China
Inductively coupled plasma mass spectrometry (ICP-MS) is one of the most effective techniques for trace elements analysis due to high sensitivity, wide linear range, multi-isotopes/elements simultaneous detection ability. However, direct ICP-MS determination of trace elements and their species in cells is still faced with tremendous difficulties: (1) The instrumental detection limits usually do not meet the requirements of trace analysis in a small number of cells; (2) Limited amount of cells does not match the sample consumption in conventional ICP-MS analysis; (3) Cell sample would cause serious matrix effects; (4) Elemental species cannot be identified by ICP-MS. Therefore, a sample pretreatment technique is a prerequisite to preconcentrate interested elements/species and separate cell matrix. Microfluidic chips, with high integration and miniaturization properties, combined with ICP-MS provide a potential platform for trace elements and their species analysis in cells.
We have integrated various extraction techniques on microfluidic chips (including chip-based liquid phase microextraction, chip-based magnetic solid phase microextraction and chip-based monolithic microextraction) and combined them with electrothermal vaporization/HPLC-ICP-MS for trace elements and their species analysis in cells, which provide LODs at ng/L level and reduce the consumed cell numbers to several hundred per analysis. Moreover, a new strategy was proposed by on-line combining droplet chip with time-resolved ICP-MS for the analysis of zinc in single cell. The developed on-line droplet chip-ICP-MS single cell analysis system provided a very high throughput (droplet generation frequency of 3-6×106 min-1), showing a good application potential in the distribution study of trace elements in single cells.
Biography:
Bin Hu is a full Professor of chemistry at Wuhan University, Vice-Dean of the College of Chemistry and Molecular Sciences at Wuhan University, China and Vice-director of the Key Laboratory of Analytical Chemistry for Biology and Medicine of the Ministry of Education of China. His research interests concern hyphenated techniques for metallomics, electrothermal vaporization as a sample introduction technique for plasma spectrometry (ICP-OES/MS), novel microextraction techniques and advanced functional materials for spectrometric analysis and ICP-MS based strategies for bioanalysis. Professor Hu is an Editorial Advisory Board member for J. Anal. At. Spectrom., Spectrochim. Acta Part B and Appl. Spectrosc. Rev.
AGH University of Science and Technology, Poland
Continuous development of science and constantly growing areas of applications of carbon adsorbents, such as activated carbon, make it necessary to constantly improve not only the methods of their preparation, but also comprehensive basic research, the aim of which is to determine and explain the mechanisms and physicochemical phenomena occurring at the various stages of obtaining these materials. It is also necessary to develop appropriate relationships between these complex phenomena and processes, enabling the prediction of these mechanisms and the adsorption properties of activated carbons obtained by means of given methods and under specific conditions of practical chemistry from given raw materials. Very important for the development of basic research in the field of adsorption and physicochemistry of surface phenomena have analysis of the correctness of assumptions and models of adsorption process in various methods from the simplest to advanced based on the density functional theory or numerical tools based on complex mathematical models. The part of the work devoted to the methods of porous structure analysis will provide a lot of information on the reliability of the obtained results and the possibility of interpreting on their basis the mechanisms of physicochemical phenomena on the surface, which will significantly increase the quality and reliability of the conducted research in this area, giving guidelines and proven procedures for the interpretation of experimental research.
Acknowledgments: The research was led within the subvention from the Polish Ministry of Science and Higher Education for the AGH University of Science and Technology in Krakow.
Biography:
Dr. Mirosław Kwiatkowski in 2004 obtained Ph.D. degree at the AGH University of Science and Technology in Kraków (Poland) and in 2018 D.Sc. degree at the Wrocław University of Technology (Poland) in the discipline: chemical technology. His published work includes more than 45 papers in reputable international journals and 90 conference proceedings. He is the editor in chief of “The International Journal of System Modeling and Simulation” (United Arab Emirates) and associate editor of Micro & Nano Letters Journal (United Kingdom) and a member of the editorial board of internationals journals as well as a member of the organizing and scientific committees many international conferences in Europe, Asia and United States of America. Dr. hab. eng. Mirosław Kwiatkowski is also a regular reviewer in a most reputable scientific journals.
Dr. Babasaheb Ambedkar Marathwada University, India
The computational studies on 2-phenazinamines with their protein targets have been carried out to design compounds with potential anticancer activity. This strategy of designing compounds possessing selectivity over specific tyrosine kinase has been achieved through G-QSAR and molecular docking studies. The objective of this research has been to design newer 2-phenazinamine derivatives as Bcr-Abl tyrosine kinase inhibitors by G-QSAR, molecular docking studies followed by wet lab studies along with evaluation of their anticancer potential. Computational chemistry was done by using VLife MDS 4.3 and Autodock 4.2 followed by wet lab experiments for synthesizing 2-phenazinamine derivatives. The chemical structures of ligands in 2D were drawn by employing Chemdraw 2D Ultra 8.0 and were converted into 3D. These were optimised by using semi-empirical method called MOPAC. The protein structure was retrieved from RCSC protein data bank as PDB file. The binding interactions of protein and ligands was done by using PYMOL. The molecular properties of the designed compounds were predicted in silico by using Osiris property explorer. The parent compound 2-phenazinamine was synthesized by reduction of 2,4-dinitro-N-phenyl-benzenamine in the presence of tin chloride followed by cyclization in presence of nitrobenzene and magnesium sulfate. The derivatization at amino function of 2-phenazinamine was performed by treating parent compound with various aldehydes in the presence of dicyclohexylcarbodiimide (DCC) and urea to afford 2-(2-chlorophenyl)-3-(phenazin-2-yl)thiazolidin-4-one.
Biography:
Gajanan Sonwane has submitted his PhD at the age of 28 years from Dr. Babasaheb Ambedkar Marathwada university, Aurangabad, India and working as lecturer in Governement College of pharmacy, Auranagabad. He has published more than 6 papers in reputed journals and has been serving as an editorial board member of repute.
Energy Research Institute (ERI), United Kingdom
This communication discusses a comprehensive review of biomass energy sources, environment and sustainable development. This includes all the biomass energy technologies, energy efficiency systems, energy conservation scenarios, energy savings and other mitigation measures necessary to reduce emissions globally. The current literature is reviewed regarding the ecological, social, cultural and economic impacts of biomass technology. This study gives an overview of present and future use of biomass as an industrial feedstock for production of fuels, chemicals and other materials. However, to be truly competitive in an open market situation, higher value products are required. Results suggest that biomass technology must be encouraged, promoted, invested, implemented and demonstrated, but especially in remote rural areas.
Biography:
Dr. Abdeen Omer (BSc, MSc, PhD) is an Associate Researcher at Energy Research Institute (ERI). He obtained both his PhD degree in the Built Environment and Master of Philosophy degree in Renewable Energy Technologies from the University of Nottingham. He is qualified Mechanical Engineer with a proven track record within the water industry and renewable energy technologies. He has been graduated from University of El Menoufia, Egypt, BSc in Mechanical Engineering. His previous experience involved being a member of the research team at the National Council for Research/Energy Research Institute in Sudan and working director of research and development for National Water Equipment Manufacturing Co. Ltd., Sudan. He has been listed in the book WHOʼS WHO in the World 2005, 2006, 2007 and 2010. He has published over 300 papers in peer-reviewed journals, 200 review articles, 15 books and 150 chapters in books.
1Niger Delta University, Nigeria
2Nigerian Institute of Mining and Geosciences, Nigeria
This paper would report on the effect of solid waste on water resource quality in the Gbarain watershed of the Niger Delta Region of Nigeria. The Gbarain watershed presently hosts two waste-dump sites located along the flanks of a seasonal flow stream and seasonally water logged terrain. The area selected for this study is in the Southern flank of the Niger Delta Region of Nigeria (60 2ʼ 0ʼʼ E-60 8ʼ 0ʼʼ E, and 40 42ʼ 0ʼʼ N-40 46ʼ 0ʼʼ N). The study involved the collection of over 75 water samples within the watershed. Triplicate samples were taken per each sampling and were later transported to the laboratory for analysis. One of these samples was collected at its natural pH, in 2l polyethylene bottles after rinsing several times with water from the point of collection for chemical and bacteriological analysis. These samples were analyzed for the metal load using Atomic Adsorption Spectrometer. The quantitative bacteriological analysis was conducted to determine the total bacterial count, total coliforms and Escherichia coli. The standard plate counting (SPC) method was used to enumerate the total bacterial count. The nutrient Agar was prepared and ethanol-sterilized for Escherichia coli assay. The results obtained from field and experimental investigations followed by modeling and graphical interpretation indicated heavy metal load and fecal pollution in the Gbarain watershed. The metal load, Escherichia coli and total coliforms counts exceeded the international and regional recommended limits. The contaminate values include Lead (> 0.01 mg/L), Mercury (> 0.006 mg/L), Manganese (> 0.4 mg/L) and Escherichia coli (> 0 per 100ml) of the samples. This paper would recommend the application of a clay liner for the containment of leachates in the Gbarain watershed. Land use planning and implementation of environmental laws are necessary for the effective management of the Gbarain watershed.
Keywords: Aquatic life environmental health; human health; solid waste; waste-dump site; water-resource environment.
Biography:
Dr. Davidson Egirani (Ph.D. Environmental Science), now he is a Senior Academic of Environmental and Applied Geology, Head of EAAWRE Research Group on the aquatic environment. He got his B Sc, M Sc in the Earth Sciences at Ibadan and PhD in Environmental Science at the University of East Anglia, United Kingdom. He got Thomas Edison Award-2014 in Energy and Environmental Science for Inspiration and Knowledge Distribution among young research scholars. Currently, Dr. Davidson Egirani research focuses on the effect of anthropogenic activities on aquatic environment , with special emphasis on the reduction of toxic metals in agricultural and industrial systems using mineral adsorbents. He has published over 70 articles that have been cited over 150 times. As a Lead Consultant, he got practical experiences in providing expert advice on the effect of mine water chemistry on agricultural land, cutting across Asia, Africa and the United Kingdom. Dr. Davidson Egirani is a visiting lecturer to International Universities. He is a member of several international professional organizations inclusive, International Medical Geology Association and Council for Nutritional and Environmental Medicine in the United States of America.
Tehran University of Medical Sciences, Iran
Inorganic polyphosphate (Polyp) is a molecule with prothrombotic and proinflammatory properties in blood. Polyp activates the NF-κB signaling pathway, increases expression of cell surface adhesion molecules and disrupts the vascular barrier integrity of endothelial cells. Polyp-induced NF-κB activation and vascular hyper permeability are regulated by the mTORC1 and mTORC2 pathways, respectively. RAGE and P2Y1 receptors, Polyp dramatically amplifies the proinflammatory responses of nuclear proteins. Moreover, Polyp-mediated activation of the contact pathway results in activation of the kallikrein-kinin system, which either directly or in cross-talk with the complement system induces inflammation in both cellular and animal systems. Thus, polyp is a novel therapeutic target for the treatment of metabolic and acute. Proinflammatory diseases, including severe sepsis, diabetes, cardiovascular disease and cancer. In this review, we discuss recent findings on the inflammatory properties of polyp and propose a model to explain the molecular mechanism of proinflammatory effects of this molecule in different systems.
Recent studies suggest that in addition to modulation of coagulation, polyp can elicit potent proinflammatory responses in cellular and animal models. The proinflammatory signaling effect of polyp increases release of the proinflammatory mediator bradykinin, triggers vascular permeability, promotes leukocytes migration, activates the NF-κB pathway, induces expression of CAMs, amplifies proinflammatory signaling of nuclear cytokines (H4 and HMGB1) and links inflammation to activation of the metabolic regulatory mTOR signaling pathway. This review summarizes the proinflammatory functions of polyp, but the detailed mechanisms in this process have yet to be defined.