Research Article
Interacting Logarithmic Entropy-Corrected Agegraphic Chameleon-Tachyon Dark Energy
Department of Physics, Vali-e-Asr University, Rafsanjan, Iran
*Corresponding author: Arvin Ravanpak, Department of Physics, Vali-e-Asr University, Rafsanjan, Iran, E-mail: a.ravanpak@vru.ac.ir
Received: November 15, 2018 Accepted: December 17, 2018 Published: January 14, 2019
Citation: Ravanpak A, Fadakar GF. Interacting Logarithmic Entropy-Corrected Agegraphic Chameleon-Tachyon Dark Energy. Int J Cosmol Astron Astrophys. 2019; 1(1): 11-15. doi: 10.18689/ijcaa-1000105
Copyright: © 2019 The Author(s). This work is licensed under a Creative Commons Attribution 4.0 International License, which permits unrestricted use, distribution, and reproduction in any medium, provided the original work is properly cited.
Abstract
Considering entropy correction terms resulting from loop quantum gravity, we investigate an interacting agegraphic dark energy model. The connection between such a model and a tachyon scalar field which couples to matter in Lagrangian is studied. We reconstruct the related potential of tachyon field and find its dynamics in the Universe. Also, we discuss the implications of this entropy-corrected agegraphic dark energy model.
Keywords: Dark energy; Chameleon; Tachyon; Agegraphic; Entropy corrected
Introduction
Recent cosmological observations demonstrate that our Universe is in an accelerated expansion phase [1-6]. We ascribe this acceleration to a mysterious matter with negative pressure called dark energy (DE). Different DE models have been proposed in literature [7-17]. Among them the holographic DE (HDE) and agegraphic DE (ADE) models are of particular interest because they arise from a more fundamental theory, dubbed quantum gravity. Choosing an appropriate length scale is one of the most important features of these models. From this point of view, ADE is preferable, because the HDE suffers from the causality problem that in turn arise from choosing event horizon as the length scale [18-19]. The energy density of ADE models is derived from the energy density of metric fluctuations of Minkowski spacetime as [20-22]

in which Mp, is the reduced Planck mass and the numerical factor 3n2, is introduced to parameterize some uncertainties. In ADE models we have two options. One can choose the age of the Universe as the length scale in a model called original ADE (OADE) [23]. Also, in a new ADE (NADE) model, the conformal age instead of the cosmic age can be chosen [16]. Therefore there is not any causality problem here.
A key point in deriving the energy density of HDE and ADE, is the relation between entropy and area of black holes in Einstein gravity [14]. This relationship can be modified due to some quantum considerations in standard general relativity. There are two modifications, the power-law entropy corrections [24-25] and the logarithmic entropy corrections [26-27]. In the logarithmic entropy corrected ADE (LECADE) model, the energy density in Eq. (1), is modified as

On the other hand, interaction between the dark sectors of the Universe is important, because it can resolve or at least alleviate a few cosmological problems such as coincidence problem [28-33]. So, the interaction between ADE and dark matter (DM), has been investigated in recent past [34-41].
Also, much attempts have been done to reconstruct scalar field DE models, from HDE and ADE [42-46]. In some of them the coupling between the scalar field and DM Lagrangian, called chameleon, has been considered [47-49]. Tachyon scalar field motivated from string theory is a especial scalar field which can explain the whole history of the Universe from inflation to late time acceleration [50-59]. The tachyon field reconstruction of HDE and ADE models has been studied separately in some works [60-64].
In this manuscript, an interacting ADE model with the logarithmic correction in the entropy-area relation is considered. In this context a chameleon-tachyon cosmology, i.e., a tachyon scalar field coupled to matter is reconstructed. This work is a complementary of the articles [39, 61-64].
Chameleon-Tachyon Reconstruction of Original Lecade (Olecade)
Assuming the energy density of the OLECADE of the form Eq. (2), and choosing the age of the Universe T, as the time scale, we have

where T is defined as

Using Eq.(3) and defining ΩD=ρD/(3Mp2H2), we reach to

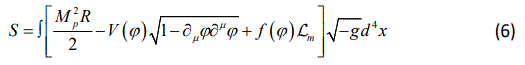
Now, we consider the chameleon cosmology with a tachyon potential in the action given by

where R is Ricci scalar and V(ϕ) is the tachyonic potential. The matter Lagrangian Lm is modified as f(ϕ)Lm, which shows the interaction between the matter content of the Universe and tachy on field.
We consider the spatially flat Friedmann-Robertson-Walker (FRW) Universe with the line element

With the variational approach one can reach to the following field equations


where H = ȧ /a, is the Hubble parameter and dot means derivative with respect to time t. Also, we have assumed that a perfect fluid with the equation of state pm=yρm has filled the Universe. ρtac and ρtac are the energy density and pressure of the tachyon field, respectively

Then, we define the fractional energy densities as

where the subscript ch stands for chameleon and Ωch=Ωmf. So, the Friedmann equation (8), can be written as

In all interacting models the densities of dark matter (DM) and DE, violate the independent conservation law. The form of interaction term is an assumption and is not unique, but usually it expresses as a combination of the DM and DE densities and simultaneously is linear in terms of the Hubble parameter. Here, in one hand, we are assuming that the tachyon field plays the role of DE, as an ADE and on the other hand plays the role of DM, as a chameleon field coupled to matter. Assuming the Universe filled with cold DM (CDM), i.e. pm=0, the dark sectors in our model satisfy

and

where ρch=ρmf. The very interesting feature of our model is that the interaction term Q, appears naturally and without any assumption. With some calculation one can find that Q=∈ρmf, with ∈=1-3γ, which is directly dependent to the chameleon coupling function f(ϕ) and ρm DM density and indirectly to the Hubble parameter.
Now, we differentiate Eq.(3) with respect to time and obtain

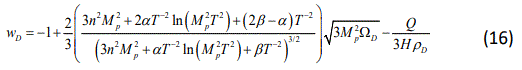
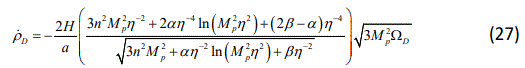
Replacing ρtac in Eq.(14), with the expression above we obtain the equation of state parameter of the DE component as

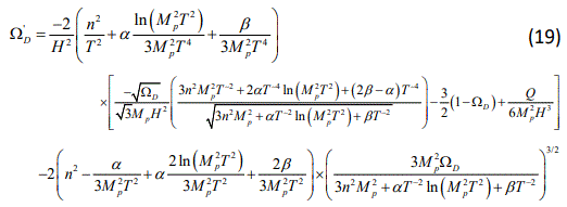
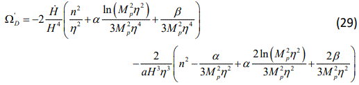
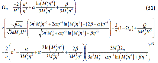
in which we have used Eq.(5). On the other hand, we take the time derivative of Eq.(5) and using Ω̇D=Ω#700;DH we reach to

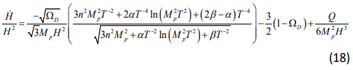
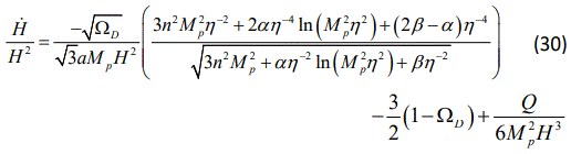
where the prime denotes differentiation with respect to the e-folding parameter, In a. Differentiating Eq.(8) with respect to time and using Eqs. (11), (12), (13) and (15) we obtain

Substituting the expression above in Eq.(17) yields to

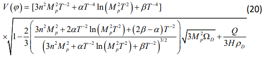
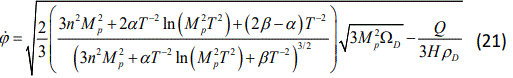
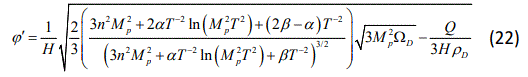
We complete our chameleon-tachyon reconstruction of OLECADE model by rewriting the potential and kinetic term of tachyon scalar field as

and

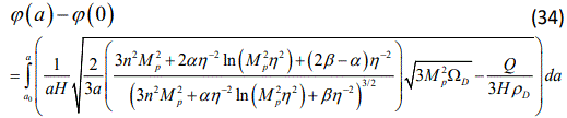
in which we have used Eq.(16) and the relation wtac=ϕ̇2-1. With attention to ϕ̇=ϕʼH, we find

Integrating the above equation results

Here a0, is the present value of the scale factor. Thus, we have organized an interacting logarithmic entropy corrected agegraphic chameleon-tachyon dark energy model and reconstructed the tachyon potential and obtained its dynamics. It is interesting to note that in the case α = β = 0, our results reduce to the corresponding ones in [64].
Chameleon-Tachyon Reconstruction of New Lecade (Nlecade)
In NLECADE, the length scale is assumed to be the conformal time n, which is introduced as

So, Eq.(2) is written as

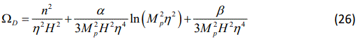
Also, we can obtain the corresponding dimensionless density parameter as

Differentiating Eq.(25) with respect to the cosmic time t, one can reach

Inserting Eq.(27) into Eq.(14), we get

On the other hand, differentiating Eq.(26) with respect to t, we obtain

where we have used ϕ̇D=ϕʼDH. Also, in a similar way to the OLECADE and using Eq.(27), one can get

Substituting the latter in Eq.(29) and using Eq.(26), we reach to

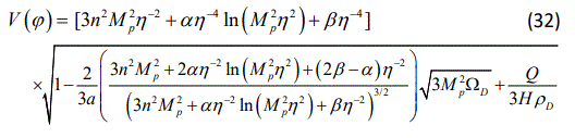
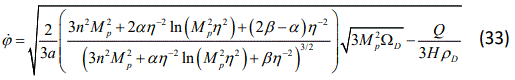
The reconstruction will be completed if we rewrite tachyonic potential and its kinetic term as

and

In a similar approach to the prior section we find that

Again, it is easy to check that in the case α = β = 0, all the above relations reduce to those discussed in [64].
Cosmological implications of Lecade Chameleon-Tachyon Models
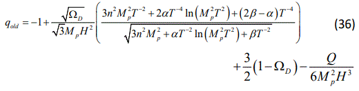
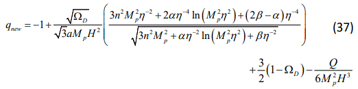
To deal with the cosmological implications we calculate two important cosmological parameters in our model. The deceleration parameter is defined as

Substituting Eqs.(18) and (30) in the above relation, we obtain

for OLECADE and

for NLECADE model.
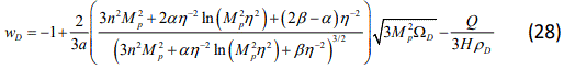
On the other hand, the effective equation of state parameter can be calculated as follow

where using Eqs.(16) and (28) we obtain

and

Summary and Discussion
Here, we investigated a logarithmic entropy corrected model of OADE and NADE and studied the correspondence between them and a chameleon-tachyon DE model, i.e., a tachyon scalar field which is coupled to matter Lagrangian. We reconstructed the tachyonic potential in each case and obtained its evolution with respect to time and scale factor parameter. On the other hand, we calculated the deceleration parameter and the effective equation of state parameter of both models to deal with the cosmological implications of our model.
References
- Larson D, Dunkley J, Hinshaw G, et al. Seven-Year Wilkinson Microwave Anisotropy Probe (WMAP) Observations: Power Spectra and WMAPDerived Parameters. Astrophys. J. Suppl. Ser. 2011; 192: 16. doi: 10.1088/0067-0049/192/2/16
- Xu L, Wang Y. Cosmography: Supernovae Union2, Baryon Acoustic Oscillation, observational Hubble data and Gamma ray bursts. Phys. Lett. B. 2011; 702: 114-120. doi: 10.1016/j.physletb.2011.06.091
- Kowalski M, Rubin D, Aldering G, et al. Improved Cosmological Constraints from New, Old and Combined Supernova Datasets. Astrophys. J. 2008; 686: 749-778. doi: 10.1086/589937
- Frieman J, Turner M, Huterer D. Dark Energy and the Accelerating Universe. Annu. Rev. Astron. Astrophys. 2008; 46: 385-432. doi: 10.1146/annurev.astro.46.060407.145243
- Vitagliano V, Xia JQ, Liberati S, Viel M. High-Redshift Cosmography. J. Cosmol. Astropart.Phys. 2010; 3: 005. doi: 10.1088/1475-7516/2010/03/005
- Caldwell RR, Dave R, Steinhardt RJ. Cosmological Imprint of an Energy Component with General Equation of State. Phys. Rev. Lett. 1998; 80(8): 1582. doi: 10.1103/PhysRevLett.80.1582
- Armendariz-Picon C, Mukhanov V, Steinhardt PJ. Essentials of k-essence. Phys. Rev. D. 2001; 63: 103510. doi: 10.1103/PhysRevD.63.103510
- Sen A. Remarks on Tachyon Driven Cosmology. Phys. Scr. T. 2005; 117: 70. doi: 10.1238/Physica.Topical.117a00070
- Caldwell RR. A Phantom Menace? Cosmological consequences of a dark energy component with super-negative equation of state. Phys. Lett B. 2002; 545: 23-29. doi: 10.1016/S0370-2693(02)02589-3
- Feng B, Wang XL, Zhang XM. Dark Energy Constraints from the Cosmic Age and Supernova. Phys. Lett.B. 2005; 607: 35-41. doi: 10.1016/j.physletb.2004.12.071
- Kamenshchik A, Moschella U, Pasquier V. An alternative to quintessence. Phys. Lett. B. 2001; 511: 265-268. doi: 10.1016/S0370-2693(01)00571-8
- Bengochea GR. Observational information for f(T) theories and Dark Torsion. Phys. Lett. B. 2011; 695: 405-411. doi: 10.1016/j.physletb.2010.11.064
- Cohen AG, Kaplan DB, Nelson AE. Effective Field Theory, Black Holes, and the Cosmological Constant. Phys. Rev. Lett. 1999; 82(25): 4971. doi: 10.1103/PhysRevLett.82.4971
- Li B, Sotiriou TP, Barrow JD. f(T) Gravity and local Lorentz invariance. Phys. Rev. D. 2011; 83: 064035. doi: 10.1103/PhysRevD.83.064035
- Wei H, Cai RG. A New Model of Agegraphic Dark Energy. Phys. Lett. B. 2008; 660(3): 113-117. doi: 10.1016/j.physletb.2007.12.030
- Gao C, Wu F, Chen X, Shen YG. Holographic dark energy model from Ricci scalar curvature. Phys. Rev. D. 2009; 79(4): 043511. doi: 10.1103/PhysRevD.79.043511
- Guberina B, Horvat R, Nikolic H. Nonsaturated Holographic Dark Energy. J. Cosmol. Astropart.Phys. 2007; 1: 012. doi: 10.1088/1475-7516/2007/01/012
- Wei H. Entropy-Corrected Holographic Dark Energy. Commun. Theor. Phys. 2009; 52: 743. doi: 10.1088/0253-6102/52/4/35
- Karolyhazy F. Gravitation and quantum mechanics of macroscopic objects. Nuovo. Cim. A. 1966; 42(2): 390-402. doi: 10.1007/BF02717926
- Maziashvili M. Space-Time In Light Of Károlyházy Uncertainty Relation. Int. J. Mod. Phys. D. 2007; 16(9): 1531-1539. doi: 10.1142/S0218271807010870
- Maziashvil M. Cosmological implications of Károlyházy uncertainty relation. Phys. Lett. B. 2007; 652(4): 165-168. doi: 10.1016/j.physletb.2007.07.008
- Cai RG. A Dark Energy Model Characterized by the Age of the Universe. Phys. Lett. B. 2007; 657: 228-231. doi: 10.1016/j.physletb.2007.09.061
- Das S, Shankaranarayanan S, Sur S. Power-law corrections to entanglement entropy of horizons. Phys. Rev. D. 2008; 77: 064013. doi: 10.1103/PhysRevD.77.064013
- Sheykhi A, Jamil M. Power-Law Entropy Corrected Holographic Dark Energy Model. Gen. Rel. Grav. 2011; 43: 2661-2672. doi: 10.1007/s10714-011-1190-x
- Kaul RK, Majumdar P. Logarithmic Correction to the Bekenstein-Hawking Entropy. Phys. Rev. Lett. 2000; 84(23): 5255. doi: 10.1103/PhysRevLett.84.5255
- Amani AR, Sadeghi J, Farajollahi H, Pourali M. Logarithmic entropy corrected holographic dark energy with nonminimal kinetic coupling. Can. J. Phys. 2011; 90(1): 61-66. doi: 10.1139/p11-140
- Karwan K. The Coincidence Problem and Interacting Holographic Dark Energy. JCAP. 2008; 0805: 011. doi: 10.1088/1475-7516/2008/05/011
- Wang S, Zhang Y. Alleviation of cosmic age problem in interacting dark energy model. Phys. Lett. B. 2008; 669(3-4): 201-205. doi: 10.1016/j.physletb.2008.09.055
- Sadjadi HM, Alimohammadi M. Cosmological coincidence problem in interacting dark energy models. Phys. Rev. D. 2006; 74: 103007. doi: 10.1103/PhysRevD.74.103007
- Hu B, Ling Y. Interacting dark energy, holographic principle, and coincidence problem. Phys. Rev. D. 2006; 73(12): 123510. doi: 10.1103/PhysRevD.73.123510
- Berger MS, Shojaei H. Interacting dark energy and the cosmic coincidence problem. Phys. Rev. D. 73, 2006; 73(8): 083528. doi: 10.1103/PhysRevD.73.083528
- Cai RG, Wang A. Cosmology with Interaction between Phantom Dark Energy and Dark Matter and the Coincidence Problem. JCAP. 2005; 0503: 002. doi: 10.1088/1475-7516/2005/03/002
- Wei H, Cai RG. Interacting agegraphic dark energy. Eur. Phys. J. C. 2009; 59: 99-105. doi: 10.1140/epjc/s10052-008-0799-8
- Sheykhi A. Interacting agegraphic dark energy models in non-flat universe. Phys. Lett. B. 2009; 680: 113-117. doi: 10.1016/j.physletb.2009.08.051
- Sheykhi A. Interacting new agegraphic dark energy in nonflat Brans-Dicke cosmology. Phys. Rev. D. 2010; 81: 023525. doi: 0.1103/PhysRevD.81.023525
- Sheykhi A, Bagheri A, Yazdanpanah MM. Interacting agegraphic quintessence dark energy in non-flat universe. JCAP. 2010; 1009: 017. doi: 10.1088/1475-7516/2010/09/017
- Zhang L, Cui J, Zhang J, Zhang X. Interacting Model of New Agegraphic Dark Energy: Cosmological Evolution and Statefinder Diagnostic. Int. J. Mod.Phys. 2010; 19(1): 21-35. doi: 10.1142/S0218271810016245
- Karami K, Khaledian MS, Felegary F, Azarmi Z. Interacting new agegraphic tachyon, K-essence and dilaton scalar field models of dark energy in nonflat universe. Phys. Lett. B. 2010; 686: 216-220. DOI: 10.1016/j.physletb.2010.02.075
- Lemets OA, Yerokhin DA, Zazunov LG. Interacting agegraphic dark energy models in phase space. JCAP. 2011; 01: 007. doi: 10.1088/1475-7516/2011/01/007
- Saaidi K, Sheikhahmadi H, Mohammadi AH. Interacting new agegraphic dark energy in a cyclic universe. Astrophys. Space Sci. 201; 338(2): 355-361. doi: 10.1007/s10509-011-0944-y
- Zhang X. Reconstructing holographic quintessence. Phys. Lett. B. 2007; 648: 1-7. doi: 10.1016/j.physletb.2007.02.069
- Karami K, Khaledian MS, Jamil M. Reconstructing interacting entropycorrected holographic scalar field models of dark energy in the non-flat universe. Phys. Scr. 2011; 83: 025901. doi: 10.1088/0031-8949/83/02/025901
- Yang WQ, Wu YB, Song LM, et al. Reconstruction of New Holographic Scalar Field Models of Dark Energy in Brans–Dicke Universe. Mod. Phys. Lett. A. 2011; 26: 191-204. doi: 10.1142/S0217732311034682
- Wu JP, Ma DZ, Ling Y. Quintessence reconstruction of the new agegraphic dark energy model. Phys. Lett. B. 2008; 663: 152-159. doi: 10.1016/j.physletb.2008.03.071
- Sheykhi A. Holographic scalar field models of dark energy. Phys. Rev. D. 2011; 84: 107302. doi: 10.1103/PhysRevD.84.107302
- Chattopadhyay S, Pasqua A, Khurshudyan M. New holographic reconstruction of scalar-field dark-energy models in the framework of chameleon Brans-Dicke cosmology. Eur. Phys. J. C. 2014; 74: 3080. doi: 10.1140/epjc/s10052-014-3080-3
- Saaidi K, Sheikhahmadi H, Golanbari T, Rabiei SW. On the holographic dark energy in chameleon scalar-tensor cosmology. Astrophys. Space Sci. 2013; 348: 233-240. doi: 10.1007/s10509-013-1491-5
- Setare MR, Jamil M. Holographic dark energy in Brans–Dicke cosmology with chameleon scalar field. Phys. Lett. B. 2010; 690(1): 1-4. doi: 10.1016/j.physletb.2010.05.002
- Sen A. Rolling Tachyon. J. High Energy Phys. 2002; 04: 048. doi: 10.1088/1126-6708/2002/04/048
- Sen A. Tachyon Matter. J. High Energy Phys. 2002; 07: 065. doi: 10.1088/1126-6708/2002/07/065
- Mazumdar A, Panda S, Perez-Lorenzana A. Assisted inflation via tachyon condensation. Nucl. Phys. B. 2001; 614: 101-116. doi: 10.1016/S0550-3213(01)00410-2
- Feinstein A. Power-law inflation from the rolling tachyon. Phys. Rev. D. 2002; 66(6): 063511. doi: 10.1103/PhysRevD.66.063511
- Sami M. Implementing Power Law Inflation with Tachyon Rolling on the Brane. Mod. Phys. Lett. A. 2003; 18(10): 691-697.
- Padmanabhan T. Accelerated expansion of the universe driven by tachyonic matter. Phys. Rev. D. 2002; 66: 021301. doi: 10.1103/PhysRevD.66.021301
- Farajollahi H, Ravanpak A, Fadakar GF. Holographic dark energy in chameleon tachyon cosmology. Astrophys. Space Sci. 2011; 336(2): 461-467. doi: 10.1007/s10509-011-0779-6
- Farajollahi H, Ravanpak A. Tachyon field in intermediate inflation on the brane. Phys. Rev. D. 2011; 84: 084017. doi: 10.1103/PhysRevD.84.084017
- Farajollahi H, Salehi A, Tayebi F, Ravanpak A. Stability Analysis in Tachyonic Potential Chameleon cosmology. JCAP. 2011; 05: 17-37. doi: 10.1088/1475-7516/2011/05/017
- Gibbons GW. Cosmological Evolution of the Rolling Tachyon. Phys. Lett. B. 2002; 537: 1-6. doi: 10.1016/S0370-2693(02)01881-6
- Granda LN. Reconstructing the potentials for the quintessence and tachyon dark energy, from the holographic principle. Int. J. Mod. Phys. D. 2009; 18: 1749-1764. doi: 10.1142/S0218271809015291
- Sheykhi A. Interacting agegraphic tachyon model of dark energy. Phys. Lett. B. 2010; 682: 329-340. doi: 10.1016/j.physletb.2009.11.034
- Jamil M, Sheykhi A. Interacting Entropy-Corrected Agegraphic-Tachyon Dark Energy. Int. J. Theor. Phys. 2011; 50(3): 625-636. doi: 10.1007/s10773-010-0585-x
- Farajollahi H, Ravanpak A, Fadakar G. Interacting agegraphic dark energy model in tachyon cosmology coupled to matter. Phys. Lett. B. 2011; 711: 225-231. doi: 10.1016/j.physletb.2012.04.001
