Review Article
After all: What is the Physical meaning of Dark Energy and Dark Matter?
Darcy Ribeiro Northern Fluminense State University, Rio de Janeiro, Brazil
*Corresponding author: Adalberto Da Costa Dias, Darcy Ribeiro Northern Fluminense State University, Rio de Janeiro, Brazil, Tel: (+55)-22998101038, E-mail: ad.albertcdias@gmail.com
Received: April 24, 2019 Accepted: May 6, 2019 Published: May 13, 2019
Citation: Da Costa Dias A. After all: What is the Physical meaning of Dark Energy and Dark Matter? Int J Cosmol Astron Astrophys. 2019; 1(3): 77-80. doi: 10.18689/ijcaa-1000118
Copyright: © 2019 The Author(s). This work is licensed under a Creative Commons Attribution 4.0 International License, which permits unrestricted use, distribution, and reproduction in any medium, provided the original work is properly cited.
Abstract
Unfortunately, the law of conservation of the mass and energy is still poorly understood and therefore misunderstood in the midst of the twenty-first-century, hindering the understanding of dark energy and dark matter.
Keywords: Dark energy; Dark matter; Newtonian mechanics; Diasʼ Equation; Fifth dimension; Electro-magnetic-photon effect; Quasar in formation.
Introduction
The Newtonian mechanics [1] is said to be traditional and outdated, because it was established 302 years ago, only in 1687. However, the concept of gravity, which stems from Newtonian mechanics [1], finds no difficulty in quantifying it, allowing its mathematical link with electromagnetism, in the unified fieldʼs theory, according to Dias [2-4].
With the establishment of the electro-magnetic-photon effect of light from Diasʼ Equation [3,4] it is possible that the questioning between dark energy and dark matter can be definitively terminated.
According to Einstein [5], space and time are interconnected in the fourth dimension and the gravimetric potential equates to orbital squared velocity of moving bodies.
The Einsteinʼs Equation (1905) is more than just a simple equivalence between mass and energy [6]. It represents the physical law, primordial of the universe, of the conservation of dark energy and dark matter, according to Dias [2-4].
About Newtonian Mechanics in the Third Dimension
From Newton [1], the concept of gravity (ḡ) emerged from less gradient (∇̅), in the third dimension [s(x, y, z)], of the gravimetric potential (U) (Figure 1).




About Newtonian Mechanics in the Fourth Dimension
According to Einstein [5], space (s) and time (t) are interconnected in the fourth dimension [s(x, y, z), t] and the gravimetric potential (U) equates to the orbital squared velocity of moving bodies (v2). Thus, the equation of gravity (ḡ), which stems from Newtonian mechanics, can be extended to the fourth dimension.




About Newtonian Mechanics in the Fifth Dimension
Dias [2-4] showed that space (s), time (t) and mass (m) are interconnected, thus establishing the Diasʼ Equation of gravity (ḡ) in the fifth dimension [s(x, y, z), t, m] [3].



The Diasʼ Equation (10), which stems from Newtonian mechanics [1], is the mathematical representation of the figure of a hyperboloid of revolution (Figure 2), showing the galaxies gravitating around the black hole, which unifies the universe from its gravitational center filled with dark matter (md).

The Electro-Magnetic-Photon Effect
In the light photons limit (v→c, m→mp), Diasʼ Equation (11) represents, for unified fieldʼs theory, the mathematical link of quantum mechanics between gravity and electromagnetism [3].





The Physical meaning of Dark Energy and Dark Matter
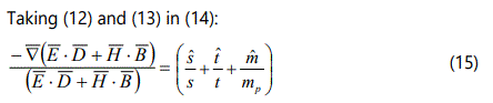
The equation (15) represents the electro-magnetic-photon effect of light [4], which clarifies the physical meaning of dark energy (ℑ) and dark matter (md). It is important to note that, without the fifth dimension, which is the mass, there would be no electro-magnetic-photon effect. Thus, the electro-magnetic-photon effect (equation 15) manifests itself when the light, which is at the same time electro-magnetic wave and particle, is plucked from the stars, on the cosmic scale, by the attraction power of the black hole, being transported by the dark energy (ℑ) there is at speed of light squared (c2) to the aforementioned black hole that exists in the gravitational center of the galaxy (Figure 3), where the light is definitively stored as dark matter (md), according to the equations (16 and 17).



The Einsteinʼs Equation (16) is more than just a simple equivalence between mass and energy [6]. It represents the physical law, primordial of the universe, of the conservation of dark energy (ℑ) and dark matter (md).
The equation (17) is a contribution of Dias [2-4], showing that dark matter (md) independent of the volume (vol) tending to zero and the density (d) tending to plus infinity. According to equation (17), dark matter (md) can correspond to a single photon or to the whole matter of the universe accumulated in a simple point of singularity.
Consequences
The arrival of light in the black hole, coming from the stars on the cosmic scale, creates a clear cloud in the central part of the galaxy (Figure 4), interpreted by Dias [4] as being quasar in formation.

The equation (15) of the electro-magnetic-photon effect also shows that light in motion creates gravitational waves.
Conclusion
1. The concept of gravity, which stems from Newtonian mechanics, finds no difficult in quantifying it, allowing its mathematical link with electromagnetism, in the unified fieldʼs theory.
2. The electro-magnetic-photon effect manifests itself when the light, which is at the same time electromagnetic wave and particle, is plucked from stars on the cosmic scale, by the attraction power of the black hole, being transported by the dark energy there is at speed of light squared to the aforementioned black hole that exists in the gravitational center of a galaxy, where the light is definitively stored as dark matter.
3. The dark matter independent of the volume tending to zero and the density tending to plus infinity and may correspond to a single photon or to the whole matter of the universe accumulated in a simple point of singularity.
4. The arrival of photons of light in the black hole, coming from the stars on the cosmic scale, creates a clear cloud in the central part of a galaxy interpreted as being quasar in formation.
5. The equation of the electro-magnetic-photon effect also shows that light in motion creates gravitational waves.
References
- Newton I. The Mathematical Principles of Natural Philosophy. 1687.
- Dias AC. Relativistic gravitational field and the universeʼs figure of a hyperboloid of revolution at the fifth dimension. J Astrophys Aerospace Technol. 2017; 5(2): 151-156. doi: 10.4172/2329-6542.1000151
- Dias AC. Mathematical link between gravity and electromagnetism through Diasʼ equation. J Astrophys Aerospace Technol. 2018; 6: 161-164. doi: 10.4172/2329-6542.1000161
- Dias AC. Interpreting universeʼs secrets. J Astrophys Aerospace Technol. 2019; 7: 162-166. doi: 10.4172/2329-6542.1000162
- Einstein A. The basis of the general theory of relativity. Ann Phys. 1916; 354: 769-822. doi: 10.1002/andp.19163540702
- Einstein A. Is the inertia of a body dependent on its energy content? Ann Phys. 1905; 323: 639-641.
Appendix
Symbols used in this Work and its Meanings
(ḡ) = Gravitational field
∇̅ = Vector mathematical operator and differential called gradient
U = Gravimetric potential
G = Constant of universal gravitation
x,y,z = Space coordinates axis representing the Newtonʼs third dimension
(s)=(x2 + y2 + z2)1/2) =The smallest straight distance representing space implosively accelerated
+î, +ĵ, +k̂ = Unit vectors in the directions of the x, y,z, respectively
+ŝ,+t̂,−m̂ = Unit vectors in the directions of the straight axis s,t,m, respectively
t = Time regressively accelerated representing the Einsteinʼs fourth dimension
m = Attracted mass cumulatively accelerated representing the Diasʼ fifth dimension
mf = Attraction mass of the material point, in the center of mass of reference
F̅a = Force vector of gravitational attraction
v2 Orbital squared velocity of moving bodies
ℑ = Dark energy
md = Dark matter
I̅p = Way back travelled in the space implosively accelerated and in the time regressively accelerated by the photon of light, in its trajectory that goes from a star to the black hole in the interior of a galaxy;
mp = Photon of light
c2 = Speed of light squared
E̅ = Electric field
D̅ = Electric field displacement
H̅ = Magnetic field intensity
B̅ = Magnetic field induction
vol = Volume
d = Density
