Research Article
Consequences of the Wave Theory of Matter: The Energy of the Future
1Facharzt fuer Innere Medizin, Erfurtstr. 33, D-53757 St. Augustin, Germany
2Faculty of Mathematics, University of Duisburg-Essen, Hans-Weber-Str. 1, D-53773 Hennef, Germany
*Corresponding author: Gerd Helmecke, Facharzt für Innere Medizin, Erfurtstr. 33, D-53757 St. Augustin, Germany, E-mail: dok-helmecke@t-online.de
Received: August 30, 2023 Accepted: September 26, 2023 Published: October 06, 2023
Citation: Helmecke G, Herkenrath U. Consequences of the Wave Theory of Matter: The Energy of the Future. Int J Cosmol Astron Astrophys. 2023; 5(2): 217-220. doi: 10.18689/ijcaa-1000141
Copyright: © 2023 The Author(s). This work is licensed under a Creative Commons Attribution 4.0 International License, which permits unrestricted use, distribution, and reproduction in any medium, provided the original work is properly cited.
Abstract
In this comprehensive examination of atomic structures, Helmecke and Herkenrath offer a pioneering revision to de Broglie’s wave theory of matter, suggesting atoms as rotating squared sinus waves. Drawing evidence from the jet streams of black holes, they propose that matter is fundamentally electromagnetic condensed energy. Unlike traditional procedures that produce radioactive waste, the authors argue for the lysis of wave structures which do not result in radioactive contamination. Contrary to prevailing atomic models, the authors challenge the role of the neutron as merely a binding entity and present an innovative model wherein protons, neutrons, and electrons are rotating waves around a circular trajectory. A crucial observation is made regarding ball lightning -an inexplicable form of electrical energy often cited in UFO phenomena -suggesting it's potential representation of condensed electrical energy. Addressing the practical implications, the paper underscores the challenges with current nuclear energy production, either through the limitations of nuclear fusion initiators orthe radioactive waste from nuclear fission. They emphasize the profound stability of matter due to it's squared rotating sinusoidal wave nature and shed light on the true nature of elementary particles, viewing them not as fundamental building blocks, but rather as by-products of matter’s disintegration. In conclusion, embracing this revised wave theory for matter unveils a vast energy reservoir for humanity, promising a future where our energy requirements can be sustainably and cleanly met.
Keywords: Wave theory, Matter, Black holes, Energy
Summary
The wave theory concerning matter by de Broglie is modified in the published work by Helmecke / Herkenrath (can be read in full in the text on the homepage www.dok-helmecke. de) to the effect that the atomic structures are rotating squared sinus waves. The proof of the correctness of the theory results from the jet stream of the black holes. From this, one can logically deduce that matter is electromagnetic condensed energy. In order to use this energy in a targeted manner, it's disintegration makes only limited sense, since such a procedure always produces radioactive waste. However, lysis of the wave structure itself does not lead to contamination with radioactive substances. The so-called elementary particles and subatomic structures are only predetermined breaking points of the rotating squared sine waves. If a rotating arc wave is destroyed, defined fragments are produced as a result of the given arc-base length, depending on the acting force. This is in contrast to the shattering of compact matter. As an example: the number and shape of glass fragments when a glass shatters on a stone floor is random, i.e., cannot be calculated in advance. In addition, the shape and size of the vessel can also change. Matter-forming waves are constant.
The New Atomic Model
The usual description of the atomic nucleus as a collection of positively charged protons and electrically neutral neutrons seems to us incomplete, even inconclusive in view of the solidity of the atomic nucleus. This speaks much more for the fact that neutrons should in some way possess negative electrical charges, which in interaction with the positive charges of the protons result in the strength of the nucleus. The question is, “How can this harmonise with the established electrical neutrality of neutrons?”. The conventional ideas about the structure of matter are sufficiently well known. We refer here to the wave model of matter first described by De Broglie and modified it. All physical laws discovered so far are not affected by this modelling and thus retain their validity. The model what is controversial about the atomic model is above all the function of the neutron as a cementing substance between the protons. We will provide an explanation for this by modelling these elementary particles as rotating waves. As mentioned in our earlier work, there is the phenomenon of ball lightning. So far, it has not been possible to produce a ball lightning in the laboratory, apparently the energy reserves so far are not sufficient for this.
This physical unexplained form of electrical energy, has been demonstrated in countless thunderstorm observations and is often used to explain UFO phenomena. As we have observed ourselves, there is no immediate discharge when such lightning strikes the earth. The path of such lightning to earth is also not subject to the classical voltage discharge. Obviously, this is a form of condensed electrical energy. A possible explanation is that ball lightning is a circular rotating form of electrical energy. This rotation changes the physical behavior of the electrical discharge. If one transfers this idea to matter, then energy-rich rotating electromagnetic waves must be present here. This is the starting point for the new modelling. Since De Broglie, the modelling of matter as a wave has been established. Accordingly, we also model the elementary building blocks proton, neutron and electron as rotating waves over a circular path. A standard electromagnetic wave with a classical sinusoidal function will not be able to be set into rotation in a stable manner, since it's spatial structure and it's amplitudes quickly lead to unstable states. However, if a plane, i.e., squared sinus wave running in a plane, is present, the rotation can occur, since there are no interactions between the amplitudes. The rotating plane squared sinus wave is a rotating arc wave. For the amplitudes of these rotating waves, we specify a direction, namely either towards the inside of the circle in which they rotate or towards the outside. The amplitudes point outwards for the proton and electron, and inwards for the neutron. If the amplitudes on the circular path are towards the outside, the particle shows an electric charge. If the amplitudes are directed towards the inside of the circular path, no charge can be measured towards the outside. The sign of the charge is determined by the direction of rotation (clockwise or counterclockwise, relative to the orbit of the arc wave). The proton-neutron coupling occurs when the amplitude height of the proton wave exceeds the inward orbit of the neutron. This means that a coupling effect occurs when the rotating squared sinus wave waves approach each other to such an extent that the proton : neutron waves overlap, and thus the amplitude of the proton waves enters the path of the neutron wave. This corresponds to the Velcro system. Since this is not a classical electromagnetic coupling, greater attractive forces become effective. This explains the nuclear forces. In order for such a system to be stable, certain, precisely defined amounts of energy must be present.

According to our model (figure 1), the elementary building blocks of the atom are of a uniform construction principle. We regard protons, neutrons and electrons as the elementary building blocks of the atom. This means that when they are broken up, even smaller elementary particles are created. The elementary building blocks mentioned, however, cannot be formed by “welding” these elementary particles together. The smaller elementary particles are therefore fragments or debris of the actual elementary building blocks. If one destroys or smashes an elementary building block, the structure of the rotating arc wave breaks up and collapses. If you break the structure of an atom, the interaction of the elementary building blocks and thus of the rotating arc wave is disturbed and the waves collapse. The circular orbital position is analogous to the modelling of the elementary building blocks as standing sinus waves is a multiple of the arc-base length (Helmecke G. & Herkenrath U., 2016).
Mass Effects of Electromagnetic Waves
The example calculation of the physics faculty of the University of Ulm for photons illustrates mass effects in electromagnetic waves.
The photoelectric effect provided us with a fundamental relationship between the particle and wave properties of light E = ℎ ∙ v. In this equation, the energy of a light particle is related to the frequency of the light waves. In addition to the energy of a particle, there are two other physical quantities that, according to classical mechanics, only an object of matter can possess: Mass and momentum of a particle.
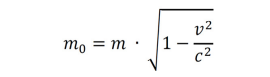
From the theory of relativity we know the rest mass m0 and the dynamic mass m of a body. They are related in the following way:

The speed of a photon is the speed of light, so we set: v = c, and get:

Photons have no rest mass;they cannot be at rest in any system.
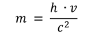
However, each photon has a certain energy. According to the mass-energy equivalence E=m ∙c2 therefore it's dynamical mass m will be different from zero. We set E=ℎ∙v and E=m∙c2 equal.

And solve the equation for m:

This mass causes photons to be deflected by gravitational fields and to lose or gain energy. Such phenomena are nowadays experimentally confirmed.
Resolving E=m ∙c2=ℎ∙v to m ∙c leads us to the momentum of p a light quantum:
Since rotating waves are static, they also have a rest mass, as is known from matter.
Nuclear Energy
When nuclear energy is used, relatively small amounts of matter are converted into energy. It does not matter whether we take nuclear fission or nuclear fusion as an example here. It should be noted, however, that the energy released by these methods is already enormous. However, for nuclear fusion, only nuclear warheads are available as starters, which is known to be somewhat impractical. Nuclear fission in nuclear power plants produces large amounts of radioactive waste, which makes a generalized use of this form of energy seem very questionable.
Release of Energy according to the Wave Theory
At the nuclear fusion the energy of a proton is given with 15 MeV. If one transfers this to the wave theory of the matter, one comes to the following result: all nuclear components have the same energy, because they consist of the same rotating squared sine wave. Thus,the following energy balance results for an atomic nucleus:
Total energy of an atom = (proton number x 15 MeV) + (neutron number x 15 MeV) + electron number x 0.511 MeV).
This total energy yield is obtained when the orbits of the squared sine wave are destabilized. A considerable plus to the present methods.
Stability of Matter
Today we understand matter as a solid substance. The handling that results from this is correspondingly simple in structure. Physics, for example, focuses on the disintegration of matter and uses particle accelerators in huge facilities for this purpose. It remains to be examined whether this approach makes sense.
According to our representations of the squared rotating sinuswave as the building substance for matter, this results in a great stability of matter. Thus, a practically non-measurable spontaneous decay may take place, which, however, has not found a place in physical thinking until today.
It should be pointed out that systems -according to Einstein -are stable in themselves in the range of the speed of light. Since electromagnetic waves move at this speed in the principle of rotation, changes in matter can only be expected through nuclearoverload and corresponding spontaneous radioactivity.However, this does not mean the general dissolution of matter into energy, but rather the radioactive decay of atoms, whereby a relatively small amount of energy is radiated and new atomic structures are created.
The rotational principle, changes at the matter are to be expected only by nuclear overload and corresponding spontaneous radioactivity. The rotating waves have no direct reaction partner, like e.g.,the earth with it's atmosphere. Therefore,also the so called Coriolis force does not occur.
The Elementary Particles
In nuclear physics, we speak of elementary particles and subatomic structures. So the question is:” How can these real-existing structures be united with the wave theory of matter?”. As a rule, these substructures are unstable and products of the destruction of the basic atomic structure of matter. They are therefore not independent phenomena. Atoms as well as their direct building blocks have mass although they are only energy products according to our theory. This mass effect remains for a short time even when the basic structures are shattered and results in a kind of pseudo-matter. This brings us back to the old discussion of “wave or matter”.
These pseudo-matter particles cannot be stable in terms of their lifetimes, since there is no stable rotational motion for the energetic wave that they constitute. Their appearance is therefore not in contradiction to the wave theory, but is a logical consequence.
However, these elementary particles do not represent building blocks of matter, but are waste products of it's destruction. Let us illustrate with an example what difference it makes to distinguish between building blocks and waste products. If a house is dismantled with a demolition hammer, the debris left behind represents a direct component of the house and may even allow conclusions to be drawn about the previously existing building. The situation is different when a wooden cabinet is burned and only itsashes remain. Here, no significant conclusions can be drawn about the previous structure. It is the same with the elementary particles as fragments of the destruction of matter. Since certain forms of the fragments obviously occur, they are probably predetermined breaking points of matter, but not building blocks.
Conclusion
Taking into account the wave theory for matter, we unveil an almost inexhaustible energy potential for mankind.
Energy balance:
Total energy of an atom = (proton number x 15 MeV) + (neutron number x 15 MeV) + electron number x 0.511 MeV).
It’s assumedthat the condensed energy of squared sinus waves is released when their circular trajectory is destabilized. Utilizing this understanding, part of this energy can certainly be harnessed to produce hydrogen, presenting a viable portable energy carrier. Since all atoms and thus all chemical compounds have the same energetic structure, there will be a universal destabilization. It must be looked for only purposefully. Then there will be sufficient energy for mankind for all concerns.
References
- Helmecke G, Herkenrath U. The Jetstream of Black Holes – Gravitation as Electromagnetic Phenomenon. Int J Cosmol Astron Astrophys. 2022; 4(2): 192-195. doi: 10.18689/ijcaa-1000134
- Helmecke G, Herkenrath U. The new Atomic Model. 2016; International Educational Scientific Research Journal. 2(7).
- Helmecke G, Herkenrath U. From the synchronization of the atom via gravity to the organization of the universe. 2008; Romanian Astronomical Journal. 18(1).
- Helmecke G., Herkenrath U. Foundations for a new basic cosmos model-Einstein only part of a whole. 2003; Romanian Astronomical Journal. 13(1).
- Uni Ulm (Pub.): Masse und Impuls der Photonen. Retrieved on 12.09.2023.
- Wikipedia: Kernfusion. Retrieved on 12.09.2023.