International Conference on Medicinal and Pharmaceutical Chemistry
December 5-7, 2016 | Dubai, UAE
Design, synthesis, crystal structure, physicochemical and CT-DNA binding of new family of copper (ii) complexes
Department of Chemistry, Science College, An-Najah National University, Palestine
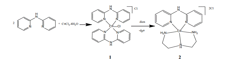
New water soluble mono-cationic [Cu(dpa)2Cl]Cl and dicationic ligands mixed [Cu(dpa)(dien)]Cl2[dpa = 2,2-Dipyridylamine and dien= diethylenetriamine], were made available as Schemed. The desired complexes structure were spectral and XRD characterized. Single-crystal X-ray diffraction for [Cu(dpa)2 Cl]Cl showed a distorted square pyramidal geometry around Cu(II) center. The desiredcomplexes revealed promising CT-DNA and antitumor activity against several types of cancer cells.

Biography:
Ismail Warad was born in 1973, Nablus, Palestine. He got his B. SC. and M. Sc. in Chem. from An-Najah Uni. In 2000 he won Kraduated Kullage scholarship to Tuebingen Uni., where he got his Ph. D. and Posdoc. position in organometallic chem. In 2005 he moved to work in King Saudi University-KSA as ass. Prof. at Chem. Dept. At KSU he promoted to full prof. in chemistry. 2013-until now working at ANU-Palestine. He published by now ~ 200 papers and 2 patents, 2 book chapters, supervised more than 30 graduated students. His research is in synthesis of transition metal complexes and study their catalytic activity as well as their biological application.
