Research Article
Relativistic Radiation Power of Spinning Black Holes
1Associate Professor, Department of Physics, Marwari College, TMB University, Bhagalpur, India
2Research scholar, Department of Physics, TMB University, Bhagalpur, India
*Corresponding author: Dipo Mahto, Associate Professor, Department of Physics, Marwari College, TMB University, Bhagalpur, India, E-mail: dipomahto@hotmail.com
Received: February 21, 2020 Accepted: March 11, 2020 Published: March 17, 2020
Citation: Mahto D, Kumar A. Relativistic Radiation Power of Spinning Black Holes. Int J Phys Stud Res. 2020; 3(1): 78-82. doi: 10.18689/ijpsr-1000112
Copyright: © 2020 The Author(s). This work is licensed under a Creative Commons Attribution 4.0 International License, which permits unrestricted use, distribution, and reproduction in any medium, provided the original work is properly cited.
Abstract
In the present research paper, we have proposed a model for the relativistic radiation power using the Stephen-Boltzmann-Schwarzschild-Hawking radiation formula
with the application of the variation of mass with velocity. We have concluded that the relativistic radiation power of spinning black hole decreases with the increase of the velocity and the mass of black hole is not only the function of radiation power of the spinning black holes, but also spinning velocity.
Keywords: Radiation power; Relativistic radiation power and Spinning velocity.
Introduction
As per the classical theory of black hole, nothing can emit from a black hole due to extreme gravitational pull [1]. Bekenstein showed that the black hole entropy is closely related to the surface area of black hole [2] and Hawking found that the black hole entropy is proportional to A/4, where A is the surface area of the black hole [3,4]. If the black holes have entropy, they must have temperature and hence they will radiate energy as explained by quantum theory [5]. Black hole is a thermodynamic system and the study of black hole thermodynamics in the quantum theory for curved space time leads to the thermal emission via Hawking radiation [6]. Brajesh et al. converted the Stephen-Boltzmann-Schwarzschild-Hawking radiation formula
in terms of Chandrasekhar limit [Mch] and calculated their values for different test black holes existing in XRBs and AGN [7]. Mistry et al. gave a model for the Hawking radiation power for black holes in asymptotically flat, asymptotically Anti-de Sitter (AdS) and asymptotically de Sitter (dS) black holes which showed that at low frequency, this model for asymptotically flat black holes, corresponding to grey body factor depends on both the Hawking temperature as well as event horizon and also the same for both Schwarzschild AdS and Reissner–Nordström AdS solutions and only depends on the Hawking temperature at asymptotic frequency [8].
In the present paper, we have proposed a model for the relativistic radiation power using the Stephen Boltzmann-Schwarzschild-Hawking radiation formula
to apply the variation of mass with velocity.
Theoretical Discussion
In terms of fundamental parameters the power radiated from a black hole of mass M is given by [9]:

Where the terms G and ħ have their usual meaning.
Stephen-Boltzmann-Schwarzschild-Hawking radiation formula is given by the following equation [10]:

Both the equations (1) and (2) consist of the parameters of the same powers, but some numerical values in denominator differ.
Let us start our work with equation (2) and it can written as:


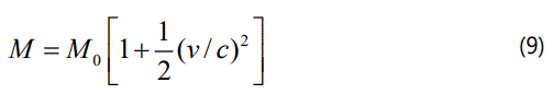
There are some black holes having their spinning velocity from 50% to 99% of the velocity of light [11] and hence the mass of black holes do not remain constant, but the mass will vary with velocity as proposed by Albert Einsteinʼs special theory of relativity as [12].

Where M0 is the rest mass and v be the spinning velocity of black holes.

or

Since, v<c, hence

Hence, it is clear that the terms of higher power of v/c in equation (7) can be neglected and finally, we have

From equation (4), we have

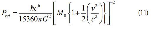
Putting the above value of equation (9) in the equation (4), we have

or

where the term Prel denotes the Relativistic Radiation Power of Spinning Black holes.
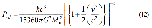
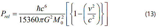
Again using binomial theorem to expand the above equation and solving to neglect higher power terms, finally we have:


The above equation shows that the relativistic radiation power is less than to that of the non-relativistic radiation power of the spinning black holes.
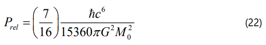
For the spinning black holes having the velocity 50% of the velocity of light, the relativistic radiation power is given by the following equation:


The above equation shows that the radiation power (ΔP) is decreased by 25% to that of the black holes due to nonrelativistic effect and rest radiation power is only 75% of the black holes due to non-relativistic effect.
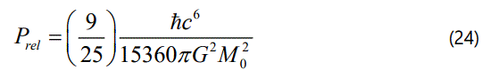
For the spinning black holes having the velocity 60% of the velocity of light, the relativistic radiation power is given by the following equation:


The above equation shows that the radiation power (ΔP) is decreased by 36% to that of the black holes due to non-relativistic effect and rest radiation power is only 64% of the black holes due to non-relativistic effect.
For the spinning black holes having the velocity 70% of the velocity of light, the relativistic radiation power is given by the following equation:


The above equation shows that the radiation power (ΔP) is decreased by 49% to that of the black holes due to non-relativistic effect and rest radiation power is only 51% of the black holes due to non-relativistic effect.
For the spinning black holes having the velocity 75% of the velocity of light, the relativistic radiation power is given by the following equation:


The above equation shows that the radiation power (ΔP) is decreased by 56% to that of the black holes due to non-relativistic effect and rest radiation power is only 44% of the black holes due to non-relativistic effect.
For the spinning black holes having the velocity 80% of the velocity of light, the relativistic radiation power of the spinning black hole is given by the following equation:


The above equation shows that the radiation power (ΔP) is decreased by 64% to that of the black holes due to nonrelativistic effect and rest radiation power is only 36% of the black holes due to non-relativistic effect.
For the spinning black holes having the velocity 85% of the velocity of light, the relativistic radiation power is given by the following equation:


The above equation shows that the radiation power (ΔP) is decreased by 72% to that of the black holes due to non-relativistic effect and rest radiation power is only 28% of the black holes due to non-relativistic effect.
For the spinning black holes having the velocity 90% of the velocity of light, the relativistic radiation power is given by the following equation:


The above equation shows that the radiation power (ΔP) is decreased by 81% to that of the black holes due to non-relativistic effect and rest radiation power is only 19% of the black holes due to non-relativistic effect.
For the spinning black holes having the velocity 95% of the velocity of light, the relativistic radiation power is given by the following equation:


The above equation shows that the radiation power (ΔP) is decreased by 90% to that of the black holes due to non-relativistic effect and rest radiation power is only10% of the black holes due to non-relativistic effect.
For the spinning black holes having the velocity 99% of the velocity of light, the relativistic radiation power is given by the following equation.


The above equation shows that the radiation power (ΔP) is decreased by about 98% to that of the black holes due to non-relativistic effect and rest radiation power is only 02% of the black holes due to non-relativistic effect.
For the spinning black holes having the velocity equal to the velocity of light, the relativistic radiation power of the spinning black hole is given by the following equation.


The above equation shows that the radiation power is decreased by 100% to that of the black holes due to nonrelativistic effect. This shows that the relativistic radiation power becomes zero for the spinning black holes having velocity equal to the velocity of light.
Results and Discussion
In the present work, we have applied the variation of mass with velocity to the formula for radiation power of black holes to give a model of radiation power of black holes due to relativistic effects.
From the study of the relativistic radiation power of spinning black holes from equation (16) to (34), it is clear that the relativistic radiation power of spinning black holes decreases with the increase of the velocity of the different test black holes as per the third column of the table 1. The relativistic radiation power tends to zero for the velocity of spinning black holes approximately equal to the velocity of light as clear from the equation (34). This also means that the amount of radiation power of spinning black holes decreased due to relativistic effect increases to that the amount of radiation power due to non-relativistic effect as clear from the fourth column of the table 1.

From the graph in the figure 1, it is also clear that the relativistic radiation power of spinning black holes decreases approximately linearly and the amount of radiation power of spinning black holes decreased due to relativistic effect to that of Non-relativistic effect decreases approximately linearly with increasing the velocity of spinning black holes and intersecting at 78% of the velocity of light. This shows that the relativistic radiation power of spinning black holes and the amount of radiation power of spinning black holes decreased due to relativistic effect to that of Non-relativistic effect are the same at this velocity.

As per the equation (1) & (2), it is clear that the magnitude of radiation power of black holes only depends on the mass of black holes, but when we apply the relativistic effect, it also depends on the velocity of the spinning black holes.
Finally, from our result, it is concluded that the radiation power decreases with increase in the velocity of spinning black holes due to relativistic effect to that of the nonrelativistic effect.
Conclusion
During the study of present research work, we can draw the following conclusions:
(i) The radiation power of black holes decreases with the increase of the mass so that heavier masses have lower radiation power and vice-versa.
(ii) The relativistic radiation power of spinning black holes decreases with the increase of the velocity of the different test black holes.
(iii) The mass of the black hole is not only the function of radiation power, but also the spinning velocity.
(iv) The relativistic radiation power of spinning black holes and the amount of radiation power of spinning black holes decreased due to relativistic effect to that of Non-relativistic effect are the same at velocity about the 78% of the velocity of light.
Acknowledgements
This paper is devoted in memory of great scientist Stephen Hawking (March 14, 2018). The authors are also obliged to UGC to give the financial support under the scheme of Minor Research Project in Science having No. PSB-011/15-16, (ERO) ID No. BBH1-021, S.No. 227847.
References
- Wald RM. The thermodynamics of black holes. Living Rev. in Rel. 2001; 4(6): doi: 10.12942/lrr-2001-6
- Bekenstein JD. Black Holes and Entropy. Phys Rev D. 1973; 7(15): 2333-2346. doi: 10.1103/PhysRevD.7.2333
- Hawking SW. Black hole explosions? Nature. 1974; 248: 30-31. doi: 10.1038/248030a0
- Hawking SW. Particle creation by black holes. Comm Math Phys. 1975; 43(3): 199-220. doi: 10.1007/BF02345020
- Rabinowitz M. Black Hole Radiation and Volume Statistical Entropy. Int J Theor Phys. 2006; 45: 851-858. doi: 10.1007/s10773-006-9075-6
- Kamali AD, Shababi H. Statistical Entropy of Quantum Black Holes in the Presence of Quantum Gravity Effects. Advances in High Energy Physics. 2018. doi: 10.1155/2018/3936169
- Jha BK, Mahto D, Yadav AP, Jha P. Study of Black hole Radiation Power. International Journal of Research and Innovations in Earth Sciences. 2014; 1(2): 44-47.
- Mistry R, Upadhyay S, Ali AF, Faizal M. Hawking radiation power equations for black holes. Nucl Phys B. 2017; 923: 378-393. doi: 10.1016/j.nuclphysb.2017.08.010
- Rabinowitz M. Little Black Holes: Dark Matter and Ball Lightning. Astrophysics and Space Science 1999; 262(4): 391-410. doi: 10.1023/A:1001865715833
- Wikipedia. Black-body radiation. 2014.
- Reich ES. Spin rate of black holes pinned down. Nature. 2013; 500(7461): 135. doi: 10.1038/500135a
- Bohm D. The Special Theory of Relativity. WA Benjamin publishers, N. Y; 1965.

