q
Research Article
Feasibility study of Improvement Experimental Measurement and Thermodynamic Modelling of Contaminants Effect on the Thermo-Mechanical Properties of Industrial Petroleum recycled plastics wastes
Petroleum & Gas Engineering Department, College of Engineering, University of Thi Qar, Thi Qar, Iraq
*Corresponding author: Khalid Farhod Chasib, Petroleum & Gas Engineering Department, College of Engineering, University of Thi Qar, Thi Qar, Iraq, E-mail: khalid_farhod@utq.edu.iq
Received: September 9, 2018 Accepted: November 30, 2018 Published: December 5, 2018
Citation: Chasib KF. Feasibility study of Improvement Experimental Measurement and Thermodynamic Modelling of Contaminants Effect on the Thermo-Mechanical Properties of Industrial Petroleum recycled plastics wastes Int J Petrochem Res. 2018; 2(3): 212-222. doi: 10.18689/ijpr-1000138
Copyright: © 2018 The Author(s). This work is licensed under a Creative Commons Attribution 4.0 International License, which permits unrestricted use, distribution, and reproduction in any medium, provided the original work is properly cited.
Abstract
The recycled plastics (RHDPE and RLDPE) were exposed to environment conditions for many years. Also the chemical contaminants had effects on the thermo-mechanical and other properties of these wastes. Then a weathering effect data is examined for both Iraqi and Foreign wastes on the thermo-mechanical and chemical properties (Tensile strength, modulus, elongation, impact and permeability).The different mathematical software model were applied to analysis these weathering – properties data in order to estimate which one or several among these properties had more effective by these weathering conditions such as (concentration of contaminant, time, temperature, thickness of specimen, length of spectra, basic property).
The results shows that a multi-polynomial model has a best fit for most or several of properties to active weathering variables, also gave a vary residual and deviation than experimental analyzed data for both sources of wastes Iraqi and Foreign RHDPE and RLDPE.
Also the results for thermo-mechanical and chemical properties prove that both tensile strength and modulus of elasticity thermo-mechanical properties and permeability / length of spectra chemical property were given a high quality of correction and fitting factor from 93-99 %, with less deviation and residual function was produced.
And the results of RHDPE gave a best fit than RLDPE for most of checked analysis properties (thermo-mechanical and chemical properties).
Keywords: Tensile strength; Modulus; Elongation; Permeability; RHDPE; RLDPE
Introduction
Recycling is an expanding area of chemical industry in general, plastic recycling and waste management in particular is being closely being examined in academic commercial organizations and governmental institutions. Finding suitable solutions could lead to the recycling of potentially hazardous materials on the other hand production of acceptable commercial products with little or no outlay in raw material. A precursor to recycling is to understand the effects of chemical contaminants on the properties of both RHDPE and RLDPE eventually how these effects can be overcome to successfully reuse contaminated RHDPE and RLDPE [1].
However in the regeneration process some questions have still not been resolved, such as: the sorting of the plastics with optimal purity over cost ratio, their cleaning, the characterization of the regenerated product before it is sold, and the market for the recycled products. Both the sorting and characterization of the polymer are obligatory steps of the recycling process: the first because the recycling blends of polymer does not lead to satisfactory products and the second, because the final user of the regenerated material must be informed of the real quality of the product you buys [1]. All the more as it might be hazardous to re-use some blends such as PVC and PET blends [1, 3].
RHDPE and RLDPE consumption continuous to grow annually, with products substitution and potential new applications increasing volume sales growth. Such as pipes segments, bottles of pipsi and milk. Where HDPE substitution into juice and milk packaging market is likely to continue as high density bottles replace glass and Tetra-Pak bricks. For replacing metals in automotive fuel tank, metal cans, large industrial container and house hold fuel tanks is also likely to support HDPE and LDPE demand in the coming years [1, 2, 4].
Some authors were studied the change in mechanical properties of R-polyethylene after exposure to artificial weathering [5-10]. Others were proposed a mathematical model to predict the behavior of Thermo-mechanical properties of LDPE [11]. In the other hand many of researchers were studied the effect of many stabilizers on the structure and thermo-mechanical properties of LDPE [12, 13].
Apparently, studied of literature review indicated that many of inorganic pigments such as Iron oxides, Chromic oxides and Titanium oxide are widely used as stabilizer in plastic industry (HDPE and LDPE) [14, 15, 16].
Aim of the Present Work
The use of recycled plastics in packaging is growing around 14 %, as year as a result of increased demand and collection growth of recycled materials is due to both legislative mandate and technology advancements.
An interesting sorting characterization data for this study was used to compare the effect of chemical contaminates and other weathering variables (time of aging, temperature, thickness of specimen, length of spectra, basic property) on the analyzing Thermo-mechanical and chemical properties (tensile strength, modulus of elasticity, impact strength, elongation, permeability) from both type of sources Iraqi and Foreign polyethylene wastes (RHDPE and RLDPE).
Also state which one or several of these sorting and characterization properties had more effects by the above weathering conditions. Then design a mathematical models for the analyzing properties with more economical, fitting and applicable, also with high quality for correction factor and less residual and deviation between experimental and theoretical one.
On the other hand state which one or several analysis properties were used to specify and modify these wastes in an industrial process applications.
Theoretical background data
The Thermo-mechanical and chemical properties for both polyethylene wastes (RHDPE and RLDPE) data had been studied at different weathering conditions (concentration of chemical contaminant, temperature, time of aging, thickness of specimen, length of spectra and basic property) with a great detail.
As a result, a variety of available software models were used to analysis and describe these properties / weather conditions (tensile strength, modulus of elasticity, Impact strength, and elongation) for Thermo-mechanical properties /concentration of contaminants, time, basic property and chemical properties / time, concentration of contaminates, thickness of specimen, length of spectra. By the use of experimental data produced from Iraqi and Foreign waste of RHDPE and RLDPE. In order to arrive an optimal software model with best fitting and less deviations between all properties data from both type of sources Iraqi and Foreign RHDPE and RLDPE.
Then related a comparison and mixing model between Iraqi and Foreign PE wastes to give an accurate, simplest and best fitting software model, also stated which of these sorting properties was the basic and specify property for modification these wastes and re-use them in different industrial process applications [17-23].
Experimental Program
Materials
The source data for Thermo-mechanical and chemical properties of both RHDPE and RLDPE wastes produced by Iraqi and Foreign researchers. Also the source of both RHDPE and RLDPE wastes were collected from local waste bottles for Iraqi and bottles of both Pipsi and milk for foreign one. Then a modern modeling software programming were use and updating continuously from a web site Internet system. To gave an economic and simples model to analysis these sorting properties / weathering condition from both sources of PE wastes Iraqi and Foreign.
Procedures
The case problem was a negative effect of hazard polyethylene wastes on the environment and public-health than a theoretical software programs were used to study the effect of different weathering conditions (concentration of contaminate, temperature, time of aging, thickness of specimen, length of spectra, and basic property) on both Thermo-mechanical properties (tensile strength, modulus of elasticity, impact strength, and elongation) and chemical property of permeability to design an optimum software model collect and mixing these effects on both PE wastes (RHDPE and RLDPE) from both sources Iraqi and Foreign (Figures 1-4).
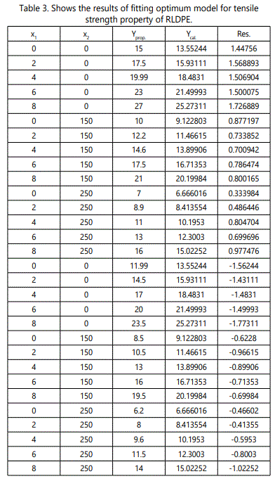
And this experimental program was achieved by several steps: firstly, classified a details data in two cases Thermomechanical and chemical properties for both Iraqi and Foreign PE waste (RHDPE and RLDPE). Secondly, sketched the experimental data details as a comparison between Iraqi and Foreign source data properties from both PE wastes (RHDPE and RLDPE) (Tables 1, 2, 3).







Thermo-mechanical Impact Strength Property
The experimental data for both PE wastes (RHDPE and RLDPE) indicated that an increasing in the concentration of contaminates cause a decreasing of impact strength values at different time of aging with higher deviation between result at 250 hr, also the values of this property was higher for Foreign source in RHDPE waste and Iraqi source for RLDPE one as shown in (Figures 5, 6).
Afterward an application of different software model program were achieved for both waste types (RHDPE and RLDPE) and sources (Iraqi and Foreign), which gave an optimum multi-polynomial software model of high correction factors for RHDPE 79% and low correction factor for RLDPE 30% and less deviation and residual for RHDPE and RLDPE at range (0.008-0.02) % as shown in (Figures 7, 8). The results of coefficients values and other fitting results were shown in (Tables 1, 2, 3). The modeling results indicated that large difference between two types of wastes (RHDPE and RLDPE) and had a same effect between two sources (Iraqi and Foreign) as in (Tables 4, 5, 6).







Thermo-mechanical modulus of elasticity Property
The experimental data for both PE wastes (RHDPE and RLDPE) stated that an increasing of contaminates concentration was caused an increasing in values of above modulus property for different a range of aging exposure time (0, 150, 250) hr, with a little deviation in values from both sources Iraqi and Foreign at higher level of aging 250 hr for RHDPE and the normalized results for RLDPE wastes, as shown in (Figures 9, 10). Also the experimental data shows high values of modulus for Foreign RHDPE and Iraqi RLDPE wastes.
Then an introducing of these data were achieved in order to optimize an suitable modeling software program function that would give a high quality best fitting results (correction factor, deviation, and coefficients), also to examine if the analyzed property was a basic one for others (Thermomechanical property), then a best fitting occurred for the applied data above as shown in (Figures 11, 12). And tables 7, 8, 9 show the results of this fitting.









Thermo-Mechanical Elongation Property
The experimental data for PE wastes (RHDPE and RLDPE) showed that a decreasing in elongation at increasing both weathering variables (concentration of contaminates and time of aging) with preference for Foreign RHDPE values and Iraqi RLDPE wastes as shown in (Figures 13, 14).
Afterward the application of different software model were achieved for both wastes (RHDPE and RLDPE) from both sources (Iraqi and Foreign), then the results was given an optimum high quality multi-polynomial model with preference for Iraqi RLDPE of less residual and high correction factor quality (82%), as shown in (Figures 15, 16). The results of produced fitting model were shown in (Tables 10, 11, 12).





Chemical Properties
Permeability / Length of Spectra Property
The experimental data for both PE wastes (RHDPE and RLDPE) from both sources (Iraqi and Foreign) were shown an increasing in permeability values with increasing both concentration of contaminants and temperature of exposure with preference of Iraqi wastes (RHDPE and RLDPE), as shown in (Figures 17, 18). Then applied the available experimental data in a different software programs and the results of this modeling was shown in (Figures 19, 20). The result of this optimum fitting such as coefficients correction factor and deviation were shown in (Tables 13, 14, 15). The optimum multi-polynomial result model have high quality of fitting 96-97% and similar residual functions and deviations (30, 34) for both waste.








Permeability / Thickness Property
The experimental data for both wastes of PE (RHDPE and RLDPE) were shown a decreasing in permeability values with increasing both thickness of specimen and length of spectra for optimum samples from both type of wastes RHDPE and RLDPE with preference for short length of spectra at 400 A for both type of wastes, see (Figures 21).
The application of these optimum result data from both type of wastes on the different software modeling programs were shown different type of model system and number of coefficients as shown in equations and tables (16, 17, 18), also the 3D histogram appearance of models were shown in (Figures 22, 23).
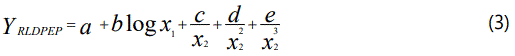
And the results of RHDPE gave a best fit than RLDPE for most of checked analysis properties (thermo-mechanical and chemical properties), and all were fitted the mathematical software model below:

Where:
a, b, c …J = coefficient of the best fit model.
x1 = concentration of contaminants.
x2 = time of aging.








Conclusions
From the above theoretical – software were model studied on the both types of PE wastes (RHDPE and RLDPE) and sources (Iraqi and Foreign), it could concluded that:
1. The Thermo-mechanical properties such as tensile strength, modulus elasticity were the basic specify properties.
2. The chemical properties of both permeability / length and permeability / thickness were the basic specify properties too.
3. The optimum fitting models for all comparison properties Thermo-mechanical and chemical properties is a multi-polynomial model function except of permeability / thickness property of logpolynomial model, see equations (1, 2, 3).
4. The optimum fitting model was fitted all sorting and characterization properties except of permeability /thickness due to input other weathering variables for both sources (Iraqi and Foreign) wastes and both types (RHDPE and RLDPE), and this was an advanced studied now.
5. The optimum weathering variables for comparison were concentration of contaminates and time of aging, also the optimum basic property for comparison was tensile strength, modulus of elasticity and permeability.
References